Ir para o conteúdo
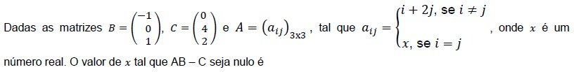
Questão 36 - ueg 2014 | Resolução Comentada | Akira Enem