Ir para o conteúdo
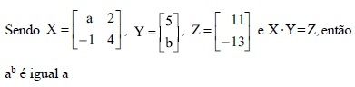
Questão 17 - unicid 2012 | Resolução Comentada | Akira Enem