Leia o texto para responder à questão.
No tratamento da maioria dos cânceres, a quimioterapia é frequentemente usada para retardar a progressão da doença. Contudo, esse tratamento provoca, muitas vezes, efeitos colaterais indesejáveis, tais como a perda de cabelo, vômitos e problemas digestivos. A razão desses efeitos colaterais está associada ao fato das drogas quimioterápicas injetáveis conseguirem chegar a qualquer parte do corpo, atingindo não só as células cancerosas, mas também as células saudáveis.
Para minimizar esse tipo de dano à saúde já debilitada do paciente, muitas pesquisas estão sendo feitas utilizando nanopartículas no tratamento do câncer.
A nanotecnologia se tornou, nos últimos anos, uma importante aliada na área de saúde, em especial da medicina, no que se refere à manipulação de partículas ultrapequenas (nanopartículas), para prevenir, diagnosticar ou curar doenças. Atualmente, a definição mais usada estipula que uma partícula é nano se o seu diâmetro equivale a um bilionésimo de metro (10–9 m).
No combate ao câncer de próstata, por exemplo, pesquisadores desenvolveram uma estratégia de ataque direto às células doentes por meio de nanopartículas. São elas que levam o fármaco, em altas concentrações, até as células cancerosas, evitando que a maioria das células saudáveis sejam atingidas. Os pesquisadores utilizaram nanopartículas de sílica carregadas de uma substância que combate esse tipo de câncer. Elas são, ainda, revestidas por uma vitamina, o folato, que é naturalmente atraída pelas células tumorais.
Nos testes in vitro, as nanopartículas atingiram seu objetivo e eliminaram cerca de 70% das células tumorais da próstata, enquanto apenas 10% das células saudáveis foram atingidas.
Esse resultado foi considerado muito favorável se comparado aos efeitos gerais de uma quimioterapia.
Porém, por trás dessa nova tecnologia promissora, existe um risco: determinados tipos de nanopartículas poderiam passar livremente pelas defesas naturais do corpo humano, tais como a pele, a membrana mucosa do nariz, da garganta, dos pulmões e do intestino. Isso prejudicaria os órgãos internos, suscetíveis a essas partículas ultrapequenas.
http://tinyurl.com/zesrhtm Acesso em: 16.09.2016. Adaptado.
O uso de fármacos já conhecidos dentro dessas nanoparticulas é uma das aplicações positivas dessa tecnologia. Desse modo, seria usada uma menor quantidade do medicamento e diminuindo, assim, os efeitos colaterais.
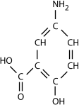
Observe a estrutura do ácido 5-aminosalicílico, fármaco utilizado como anti-inflamatório intestinal.
Assinale a alternativa que apresenta a fórmula molecular, desse ácido.