
Resolução passo a passo com explicação detalhada
Biologia > Sistema Reprodutor > Gametogênese
Gametogênese aparece em ~0% das questões de Biologia (65 questões no banco).
FCMSCSP 2024
Questão 42
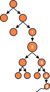
Analise o esquema que representa uma ovogênese humana sem mutações, processo que
UNIFENAS 2023
Questão 9
Observe a figura a seguir que compara a gametogênese masculina e a feminina em s
UEA 2023
Questão 40
A figura representa uma gametogênese humana. <img src="
UECE 2023
Questão 55
Na gametogênese humana masculina e feminina, é correto afirmar que
UEL 2022
Questão 34
A ovulogênese se inicia na fase intrauterina, com a formação dos gametas feminin