
Resolução passo a passo com explicação detalhada
Química > Classificação e Representação de Cadeias Carbônicas > Tipologia das Cadeias
Tipologia das Cadeias aparece em ~1% das questões de Química (104 questões no banco).
ENEM 2023
Questão 18
O descarte de detergentes comuns nos esgotos domésticos ocasiona a formação de u
UNEB 2023
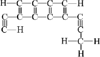
Questão 25
<img src="
Unichristus 2023
Questão 57
A figura ao lado ilustra a fórmula do ácido etilenodiaminotetraacético (EDTA), c
UEA 2023
Questão 57
O farneseno (C15H24) é uma substância que vem sendo utilizada para a produção de
UEM/CVU 2022
Questão 4
Assinale o que for correto. 01) O 2,2,4-trimetilpentano é um alcano de cadeia ra