

Resolução passo a passo com explicação detalhada
Química > Química Orgânica > Polímeros
Polímeros aparece em ~2% das questões de Química (315 questões no banco).
UFRGS 2026
Questão 38
CLASSIFICAÇÃO PERIÓDICA DOS ELEMENTOS Com massas atômicas referidas ao isótopo 1
FCMSCSP 2026
Questão 60
Tabela de Classificação Periódica dos elementos, com número atômico, símbolo, no
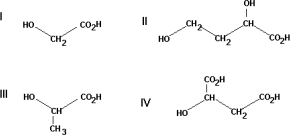
Unioeste 2024
Questão 70
A má gestão de resíduos plásticos petroquímicos (polietileno) está relacionada à
AM ENEM 2024
Questão 92
No universo dos materiais utilizados na fabricação de itens de conforto doméstic