

Resolução passo a passo com explicação detalhada
Química > Funções Orgânicas > Nomenclatura e Identificação de Funções
Nomenclatura e Identificação de Funções aparece em ~4% das questões de Química (710 questões no banco).
UNESP 2026
Questão 62
A figura mostra a estrutura molecular do ácido carmínico, um pigmento conhecido
IFSC 2025
Questão 26
Leia o Texto X.TEXTO XSe você pratica atividades físicas que exigem principalmen
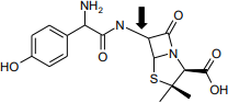
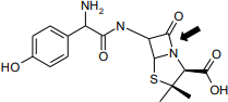
UNESP 2025
Questão 72
Analise a fórmula que representa a estrutura molecular da adrenalina.A adrenalin
UFT 2024
Questão 33
A cor da pele depende da quantidade de melanina, um pigmento biológico que o org