Idosos internados com diagnóstico de desnutrição, processo inflamatório grave, insuficiência renal e hepática apresentam estreita relação com hipoalbuminemia. Esta condição concorre para um prognóstico desfavorável com período de internação hospitalar prolongada e maior risco de complicações clínicas. Em adição, idosos com hipoproteinemia podem não ser responsivos a medicação e podem apresentar alterações no efeito farmacológico quando se administra medicamentos com afinidade a proteínas plasmáticas.
A relevância da afirmação recai sobre o uso de medicamentos como a principal ferramenta terapêutica em ambiente nosocomial, sobretudo na população idosa, que utiliza de 8 a 15 fármacos diferentes. Cabe ressaltar que boa parte dos fármacos apresenta afinidade pelas proteínas séricas e que apenas a fração livre é responsável pelos efeitos farmacológicos. Assim, fármacos ácidos ligam-se à albumina e os básicos à α1-glicoproteína ácida. Portanto, a presença de hipoalbuminemia em idosos pode induzir ao aumento na fração livre dos fármacos que se ligam à albumina induzindo a uma maior toxicidade
(SALGADO, F.X.C, 2010).
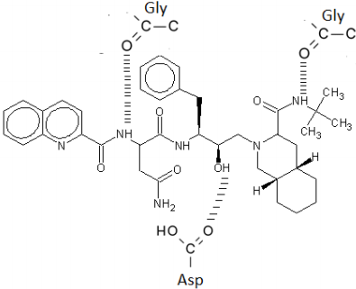
Da mesma forma que os fármacos se ligam as proteínas plasmáticas para serem distribuídos, para que eles atuem em seus receptores/alvos é necessário que ocorra interações intermoleculares. Um exemplo é o caso abaixo do saquinavir (Um antirretroviral que atua inibindo a protease do HIV-I).
Abaixo aminoácidos presentes na enzima protease de HIV-I inibida pelo saquinavir
Abaixo a interação do saquinavir com algumas regiões dos aminoácidos que compõem o sítio ativo da protease de HIV-I (FRAGA, 2001 modificado)
Após análise dos aminoácidos que compõe o sítio ativo da protease de HIV-I, da figura que representa a interação do saquinavir ao seu sítio ativo e das linhas tracejadas que demonstram a interação para este medicamento ao seu alvo, assinale a afirmativa que melhor explica a força intermolecular existente entre o fármaco e a protease de HIV-I: