Pular para o conteúdo principal
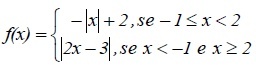
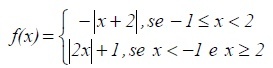
Questão 24 - UEG 2016 | Resolução Comentada | Akira Enem