
Resolução passo a passo com explicação detalhada
Biologia > Botânica > Anatomia Vegetal
Anatomia Vegetal aparece em ~1% das questões de Biologia (210 questões no banco).
FUVEST/OBJ 2025
Questão 65
Analise o texto a seguir"Registros fósseis indicam que as pteridófitas já eram c
Vestibulinho ETEC 2024
Questão 17
Leia o texto para responder à questão. Uma das lendas folclóricas brasileiras na
UNICAMP 2024
Questão 39
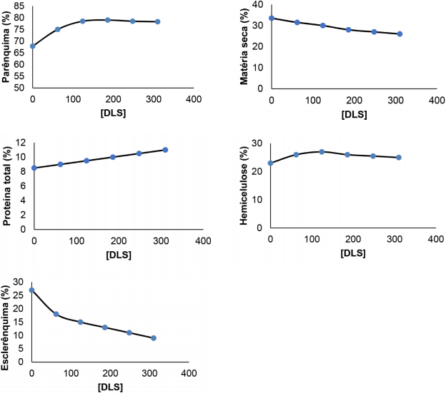
A partir da organização tecidual, é possível reconhecer o estágio de desenvolvim
FAMERP 2024
Questão 46
Em dias com rajadas de vento, é possível verificar que galhos e folhas de muitas
AM ENEM 2024
Questão 122
As madeiras usadas em um violão são essenciais para determinar seu timbre. Depen