Em 25/8/1609, Galileu Galilei apresentava ao mundo o telescópio, sua mais nova invenção, que representou um dos mais importantes avanços tecnológicos da história. Foi ele a primeira pessoa a observar a Lua através de um telescópio. A invenção resultou do aperfeiçoamento de uma luneta, patenteada, em outubro de 1608, pelo holandês Hanz Lipperhey. Decidido a aprimorar o objeto, Galileu, em menos de um ano, conseguiu criar um telescópio de trinta aumentos, que permitiu inúmeras descobertas a respeito do espaço.
Por volta de 1611, Kepler melhorou o projeto para acomodar duas lentes convexas, que invertem a imagem. O projeto de Kepler ainda é utilizado em telescópios atualmente, embora tenham sido feitas algumas melhorias nas lentes e no vidro utilizados.
Os telescópios refratores são compostos de um tubo longo feito de metal, plástico ou madeira; uma lente de vidro na extremidade dianteira (objetiva); e uma segunda lente de vidro mais próxima do olho (ocular). O tubo mantém as lentes no lugar a uma distância adequada uma da outra. O tubo também ajuda a evitar a presença de poeira, umidade e luz, que poderiam interferir na formação de uma boa imagem. A objetiva capta a luz e a desvia ou refrata para um foco próximo à parte traseira do tubo. A ocular traz a imagem até o olho do usuário e a amplia. As distâncias focais das oculares são muito menores que as das objetivas.
Tendo como referência o texto acima, julgue o item.
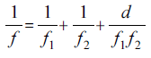
Se a distância focal efetiva — f — de um conjunto formado por duas lentes finas, de focos f
1 e f
2, separadas por uma distância d, for dada pela relação
, então um telescópio com distância focal efetiva f e que utilize duas lentes finas de mesma distância focal deve ser tal que
.