Pular para o conteúdo principal
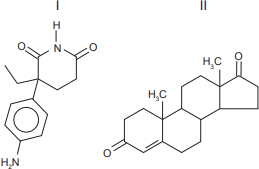
Questão 26 - UNIFAA 2017 | Resolução Comentada | Akira Enem