Pular para o conteúdo principal
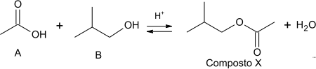
Questão 18 - UNIFENAS 2020 | Resolução Comentada | Akira Enem