Pular para o conteúdo principal
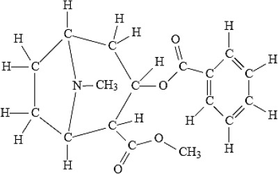
Questão 62 - UNINTA 2016 | Resolução Comentada | Akira Enem