Pular para o conteúdo principal
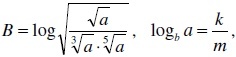
Questão 58 - UNITAU 2014 | Resolução Comentada | Akira Enem