Pular para o conteúdo principal
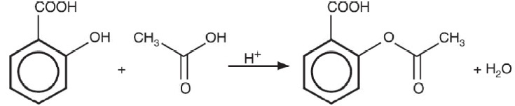
Questão 67 - FAMEVAÇO 2013 | Resolução Comentada | Akira Enem