
Resolução passo a passo com explicação detalhada
Química > Química Orgânica > Isomeria
Isomeria aparece em ~3% das questões de Química (559 questões no banco).
ENEM/OBJ 2025
Questão 116
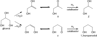
Na natureza existem produtos que, pela modificação da disposição relativa dos li
São Leopoldo (Mandic) 2024
Questão 23
Os hidrocarbonetos são compostos orgânicos constituídos apenas por carbono (C) e
UFRGS 2024
Questão 39
A lisdexanfetamina (fórmula representada abaixo) é um fármaco de venda controlad
EsPCEx 2024
Questão 42
Nas Olimpíadas de Paris 2024, os atletas tiveram que se prevenir com relação ao