

Resolução passo a passo com explicação detalhada
Química > Reações de Oxirredução Orgânica > Oxidação de Hidrocarbonetos Insaturados
Oxidação de Hidrocarbonetos Insaturados aparece em ~0% das questões de Química (54 questões no banco).
PUC - SP 2024
Questão 20
As emissões biogênicas de compostos orgânicos voláteis (COVs) têm um papel funda
FAME 2024
Questão 45
O etilenoglicol é um diálcool anticongelante comumente adicionado à água de radi
AM ENEM 2024
Questão 134
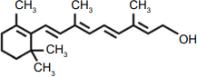
Ao considerar a seguinte reação de clivagem oxidativa enérgica, onde o "Reagente
UnirG 2023
Questão 40
A ozonólise do ciclohexeno, seguida de hidrólise, em presença de zinco metálico,