Pular para o conteúdo principal
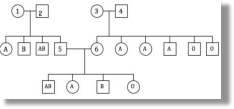
Questão 71 - Olimpíada Brasileira de Biologia 2018 | Resolução Comentada | Akira Enem