Pular para o conteúdo principal
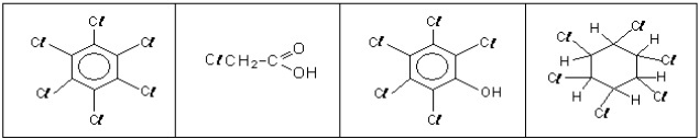
Questão 21 - UDESC 2008 | Resolução Comentada | Akira Enem