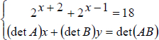
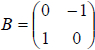
Pular para o conteúdo principal
Questão 7 - UDESC 2010 | Resolução Comentada | Akira Enem