Resolução passo a passo com explicação detalhada
Biologia > Composição Química das Biomoléculas > Proteínas
Proteínas aparece em ~1% das questões de Biologia (147 questões no banco).
UFRGS 2026
Questão 53
A famosa frase de Carl Sagan, "O cosmos está dentro de nós. Somos feitos de poei
UERR 2024
Questão 55
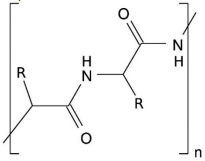
Sabendo que as proteínas são polímeros biológicos resultantes da união de molécu
UNIFOR 2023
Questão 27
A Organização Mundial da Saúde desaconselhou o uso prolongado de adoçantes em di
USS (Univassouras) 2023
Questão 37
A coalhada é o produto resultante da ação controlada de bactérias láticas sobre