

Resolução passo a passo com explicação detalhada
Matemática > Funções Trigonométricas > Gráficos e Parâmetros
Gráficos e Parâmetros aparece em ~1% das questões de Matemática (251 questões no banco).
Fuvest 2025
Questão 27
As enchentes ocorridas no Rio Grande do Sul, em maio de 2024, prejudicaram a inf
AFA 2025
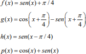
Questão 29
Segundo estudiosos, o comportamento do nível do mar provocado pela atração gravi
UNICAMP 2025
Questão 58
A poluição de rios, lagos e lagoas é um dos grandes problemas enfrentados pela s
ENEM 2025
Questão 155
Um recipiente tem um formato que faz com que, ao ser enchido de água com uma vaz