
Resolução passo a passo com explicação detalhada
Química > Química Orgânica > Nomenclatura Orgânica
Nomenclatura Orgânica aparece em ~1% das questões de Química (149 questões no banco).
IFSC 2025
Questão 23
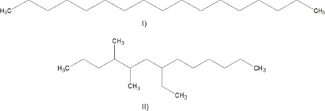
São listadas abaixo fórmulas estruturais de compostos orgânicos que estão presen
FUVEST/OBJ 2025
Questão 58
Os hidrocarbonetos são compostos binários constituídos apenas por hidrogênio (H)
USS (Univassouras) 2024
Questão 37
Uma molécula empregada como matéria-prima na produção de fármacos apresenta a se
UECE 2024
Questão 48
Radicais orgânicos são espécies ou conjuntos de átomos ligados entre si, que apr