UNICID 2013 · Questão 90/86

Resolução passo a passo com explicação detalhada
Química > Forças Intermoleculares > Polaridade e Afinidade Química
Polaridade e Afinidade Química aparece em ~1% das questões de Química (93 questões no banco).
Fuvest 2026
Questão 81
During the nineteen-seventies and eighties, a researcher at the University of Wa
EsPCEx 2024
Questão 37
Os lenços umedecidos são um produto criado na década de 1950 nos EUA e que, de c
AM ENEM 2024
Questão 124
Em um experimento de física, foi observado um fenômeno interessante envolvendo a
UVV 2022
Questão 28
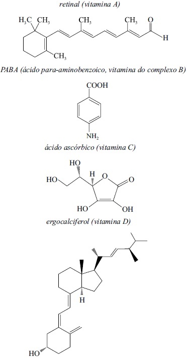
A regra - substância polar tende a se dissolver em outra substância polar - pode