unifenas 2013 · Questão 27/42
Resolução passo a passo com explicação detalhada de cada alternativa...
Resolução passo a passo com explicação detalhada
Matemática > Geometria Analítica > Seções Cônicas
Seções Cônicas aparece em ~1% das questões de Matemática (191 questões no banco).
AFA 2026
Questão 32
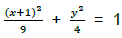
Considere as curvas de equações <img src="
EsPCEx 2024
Questão 13
A reta r dada pela equação [imagem] n
UFRR 2024
Questão 17
A equação da elipse que passa pelo ponto P(0,6) e tem como focos os pontos (-8,0
UNIMONTES 2024
Questão 44
A reta [imagem] intercepta a cu
A reta r : [imagem] intercepta a curva