Texto 1
A COVID-19 é uma doença causada pelo coronavírus, denominado SARS-CoV-2, que apresenta um espectro clínico variando de infecções assintomáticas a quadros graves. Um esquema da estrutura do coronavírus é apresentado abaixo: a partícula viral se apresenta esférica, com cerca de 125 nm de diâmetro e projeções externas em sua membrana na forma de espículas (estrutura pontiaguda que se projeta através da superfície externa do invólucro proteico de certos vírus e que permite a fixação à célula hospedeira), cada uma formada por um trímero da proteína S (S - spike protein).
Texto 2
Quando o vírus interage com a célula hospedeira, a proteína S permite que o vírus se ligue à membrana da célula hospedeira em um local específico, onde há a presença de outra proteína, denominada ACE2 (em inglês: Angiotensin-Converting Enzyme 2), e assim o vírus consegue penetrar na célula hospedeira. É como se a proteína S fosse a chave e a proteína ACE2 fosse a fechadura. A proteína ACE2 está presente em muitos tipos de células, por exemplo, nos tecidos do nariz, boca, pulmões, coração, rins, vasos sanguíneos, fígado e trato gastrointestinal. Evidências sugerem que a quantidade da proteína ACE2 é maior em pessoas com hipertensão, diabetes e doenças do coração. Por esses motivos, um dos mais importantes estudos da vacina está, atualmente, focado na proteína S, uma vez que ela permite a entrada do vírus na célula hospedeira.
Texto 3
Por meio de análises na estrutura química da proteína S, foram obtidos os seguintes valores:
1) a proteína S tem uma massa entre 180.000 a 200.000 Daltons (1 Dalton = 1/12 da massa do átomo de carbono).
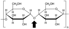
2) a superfície de cada unidade da espícula do SARSCoV-2 é recoberta com uma molécula de polissacarídeo, com a presença de 66 ligações glicosídicas. A presença de polissacarídeos possibilita ao vírus se camuflar do sistema imunológico do hospedeiro durante seu trânsito.
A partir dos textos acima, e dos conceitos de Bioquímica, assinale a alternativa INCORRETA.