
Resolução passo a passo com explicação detalhada
Matemática > Funções Exponenciais e Logarítmicas > Equações Logarítmicas
Equações Logarítmicas aparece em ~0% das questões de Matemática (61 questões no banco).
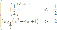
AFA 2026
Questão 28
Considere b uma constante real, com b > 0 e b ≠ 1Se <img src="
UECE 2023
Questão 16
Considere as funções reais f : R+ → R e g : R+ → R, onde R+ é o conjunto dos núm
EEAR 2023
Questão 68
Seja a função <img src="
FACISB 2023
Questão 75
Considere as funções f: ℝ → ℝ e g: ℝ → ℝ, dadas por f(x) = 4x – 1 e g(x) = log10
FCMSCSP 2023
Questão 79
O decaimento radioativo de uma substância se dá de acordo com a fórmula r(t) = C