Pular para o conteúdo principal
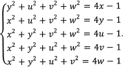
Questão 8 - EN 2021 | Resolução Comentada | Akira Enem