

Resolução passo a passo com explicação detalhada
Matemática > Trigonometria > Equações Trigonométricas
Equações Trigonométricas aparece em ~1% das questões de Matemática (153 questões no banco).
Fuvest 2026
Questão 7
Considere a equação trigonométrica<img alt="sen \frac{\pi}{2} + sen x = sen (2x)
AFA 2026
Questão 22
A equação <img src=" \cos(x) + 2 \sin(x) = 2" alt="2\sqrt{3} \cos(x) +
Albert Einstein 2024
Questão 43
Sendo x a medida positiva de um ângulo em graus, o menor valor de x que satisfaz
EsPCEx 2023
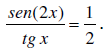
Questão 12
Sabendo que [imagem], o núme
UECE 2023
Questão 20
Na trigonometria circular usual, considere os valores dos arcos x para os quais