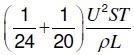
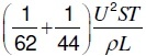
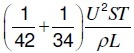
Um circuito é alimentado por uma bateria através de uma chave temporizada ch que após o seu fechamento, abrir-se-á depois de transcorrido um período de tempo igual a T. Esse circuito é formado por segmentos de condutores com a mesma seção, mesma resistividade e comprimentos indicados na figura. Também estão inseridos cinco fusíveis f1 a f5, que têm a função de manter a continuidade do fluxo de corrente e de manter os segmentos conectados. Sempre que um dos fusíveis queimar, o segmento imediatamente à esquerda vai girar no sentido horário, fechando o contato, através de um batente, após decorridos T/4. Sabe-se que cada fusível necessita de T/4 para se romper diante de uma corrente maior ou igual à corrente de ruptura. A partir do fechamento da chave temporizada ch até a sua abertura, a energia consumida pelo circuito é igual a
Dados:
• correntes de ruptura para cada fusível a partir da direita:
o f1: 0,9 I;
o f2: 1,1 I;
o f3: 1,5 I;
o f4: 1,8 I; e
o f5: 2,1 I.
• resistividade do segmento: r;
• seção do fio: S;
• diferença de potencial da bateria: U.
Observações:
• I corresponde a corrente elétrica com todos os fusíveis ligados;
• desconsidere a resistência dos fusíveis, da chave, dos fios e dos engates que conectam a fonte
ao circuito.