Resolução passo a passo com explicação detalhada
Química > Química > Química Orgânica
Química Orgânica aparece em ~22% das questões de Química (4010 questões no banco).
Vestibulinho ETEC 2026
Questão 36
Os feromônios são substâncias químicas usadas por muitos animais para se comunic
UFRGS 2026
Questão 38
CLASSIFICAÇÃO PERIÓDICA DOS ELEMENTOS Com massas atômicas referidas ao isótopo 1
FCMSCSP 2026
Questão 60
Tabela de Classificação Periódica dos elementos, com número atômico, símbolo, no
UNESP 2026
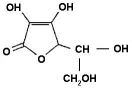
Questão 62
A figura mostra a estrutura molecular do ácido carmínico, um pigmento conhecido