
Resolução passo a passo com explicação detalhada
Química > Estequiometria > Pureza, Rendimento e Reagente Limitante
Pureza, Rendimento e Reagente Limitante aparece em ~2% das questões de Química (367 questões no banco).
UFRGS 2026
Questão 35
CLASSIFICAÇÃO PERIÓDICA DOS ELEMENTOS Com massas atômicas referidas ao isótopo 1
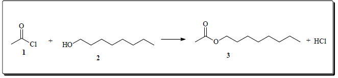
FCMSCSP 2026
Questão 54
Tabela de Classificação Periódica dos elementos, com número atômico, símbolo, no
UEL 2025
Questão 15
Economia circular é um conceito referente ao desenvolvimento econômico de um paí
FUVEST/OBJ 2025
Questão 57
A produção de metanol (32g/mol) a partir da biomassa é uma técnica promissora pa