UnB - PAS 2020 · Questão 124/124

Resolução passo a passo com explicação detalhada
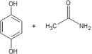
Química > Reações Orgânicas > Esterificação e Hidrólise
Esterificação e Hidrólise aparece em ~1% das questões de Química (215 questões no banco).
São Leopoldo (Mandic) 2024
Questão 22
A reação de transesterificação é utilizada na modificação da estrutura química d
FCMSCSP 2024
Questão 59
A figura apresenta a fórmula estrutural de um monoterpeno, composto natural extr
UEMA 2024
Questão 64
A seguir, reproduz-se a fala da Sra. Francisca Nascimento, coordenadora-geral do
UNIFOR 2023
Questão 22
O eugenol, composto orgânico bioativo de interesse farmacêutico e odontológico,