ime 2021 · Questão 1/40

Resolução passo a passo com explicação detalhada
Matemática > Fundamentos e Expressões Algébricas > Técnicas de Manipulação
Técnicas de Manipulação aparece em ~1% das questões de Matemática (156 questões no banco).
ENEM 2024
Questão 65
Ao calcular a média de suas notas em 4 provas, um estudante dividiu, por engano,
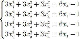
UNEB 2023
Questão 8
Considerando a expressão 9x2 + 4y2 - 6x - 20y + 26 = 0, com x e y sendo números
UFPR 2023
Questão 10
Considere as equações a + b = c2 e a + b + c = 20. Assinale a alternativa que co
UNEMAT 2023
Questão 16
Ao comprar um tênis, João observou que no solado do calçado haviam duas numeraçõ