
Resolução passo a passo com explicação detalhada
Química > Reações Orgânicas > Outros tópicos de Reações Orgânicas
Outros tópicos de Reações Orgânicas aparece em ~1% das questões de Química (198 questões no banco).
UNESP 2026
Questão 74
Um dos principais usos do petróleo é na produção da gasolina, uma mistura de hid
FUVEST/OBJ 2025
Questão 60
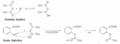
Considere o mecanismo de adição de HCl ao transbut-2-eno esquematizado a seguir<
ENEM 2025
Questão 103
O fruto do cajueiro é um aquênio repleto de um líquido escuro, quase preto, cáus
ENEM/OBJ 2025
Questão 109
<img src=" alt="109.png" /
ENEM 2025
Questão 113
A dimetilamina é uma substância de elevada toxidez que entra em ebulição a 7 °C.