Pular para o conteúdo principal
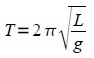
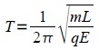
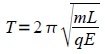
Questão 45 - UFG 2010 | Resolução Comentada | Akira Enem